Welcome Challengers to the 1st ever Math Escape Rooms.
You are trapped in a room with a chest that can be unlocked by solving 4 math puzzles.
Inside the chest, there's another puzzle, which upon solving will give you the passcode for escaping the chamber.
May the odds be ever in your favor.

Uh oh! Try again. You are getting there.
Well done Challenger! A formidable performance. The area is indeed 32.

This diagram should help.
You have unlocked the first key as A = 32.

Uh oh! Try again. You are getting there.

Well done Challenger! Another respectable play. The sum is 73.Your algebra is solid.
You have unlocked the second key B = 73. Let's tackle Challenge 3.

Uh oh! Try again. You are getting there.

Well done Challenger! This was a tough one. I am proud of you. The answer is 1/36.
The key you got from Challenge C is 1/36. Now can you do the Monty Hall Puzzle?

Suppose you’re on a game show, and you’re given the choice of three doors: Behind one door is a car; behind the others, goats. You pick a door, say №1, and the host, who knows what’s behind the doors, opens another door, say №3, which has a goat. Now, do you want to pick door №2? What is the probability to win the car if you switch?
Uh oh! Try again. You are getting there.

Well done Challenger! You aced the game show, here's a car for you 🚗. Indeed switch the doors means you have a 2/3 chance of winning :)
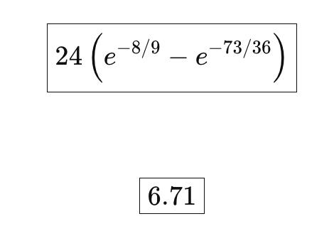
Here's the final battle, my brave soul. You have secured all 4 clues from previous challenges.A = 32, B = 73, C = 1/36, D = 2/3.

Hmm check again, you are getting there. Keep going!

Well done! You are amazing! 5/5 for your performance :)

Thank you for taking part in the first ever Math Escape Rooms. I know it's not perfect, but I am hoping to modify and keep improving the experience. Hopefully you learnt something new today!